
Mogućnosti Programa
Logika DOS programskog paketa GRAC i kompatabilnost sa njim je ugrađena u dodatak za CAD programe pod imenom AcadGRAC gde je geodetskom stručnjaku omogućeno:
- Podešavanje osnovnih parametara crteža, Razmere, Visine teksta, atributa i ostalo
- Učitavanje u crtež podataka iz fajlova Totalnih Stanica: Leica, Sokia, Nikon, Topkon, Trimbl, South i drugih
- Direktno unošenje i editovanje koordinata pojedinačno i kroz Tabelu
- Unošenje i editovanje podataka za polarno i ortogonalno snimanje
- Insertovanje Detaljnih listova, iz formirane baze i jednostavno formiranje baze istih
- Insertovanje Topografskih znakova iz RGZ ključa, ličnog ili nekog drugog ključa
- Skraćivanje linija oko pikira i u bilo kom trenutku eliminisanje skraćenja
- Insertovanje padnica, znkova pripadnost, poništenja i šrafiranje objekata
- Formiranje kontura i šrafiranje bez obzira da li su linije skraćene oko pikira
- 3D modeliranje terena i iscrtavanje izohipsi
- Izrada podužnih i poprečnih profila
- Računanje zapremina
- Transformacija koordinata i crteža Afinom ili Helmertovom transformacijom
- Transformacija koordinata i crteža u susednu zonu
- Uslovna paralelna i radijalna deoba parcele sa formiranjem PYX formulara
- U Layout-u, Formiranje Listova detalja i Detaljnih skica uz pomoć Template-a
- Razni alati za manipulisanje entitetima i atributima u crtežu preko uzorka
- Razne varijante prenumeracie tačaka
- Jednostavno dizanje crteža u 3D i spuštanje u 2D
- Formiranje Zapisnika polarnog i ortogonalnog snimanje
- I niz drugih opcija ( AcadGRAC.pdf )
Mnogo drugih kreiranih komandi i alatki, koje nisu našle mesto pod nekom od ikona u kreiranim Toolbar-ovima a koje:
- preuređuju tuđe crteža za AcadGRAC
- prilagođavaju DWG crtež AcadGRAC-a za druge programe
- otklanjaju greške u crtežu (duplikate, kratke linije, prekidaju linije i slično )
- i mnogo drugih ( Dodatak-A.pdf )
Njihovo korišćenje je moguće iz komandne linije CAD programa u kome radi AcadGRAC, ili takođe iz komandne linije komandom: WW gde se iz liste tih alata, bira odgovarajuća.
Korisnik može listu Dodatnih Lisp komandi, proširiti svojim Lispovima dodaju ih datom popisu u txt formatu.
Tekstualni format zapisivanja geodetskih podataka, je kompatabilan sa svojim DOS GRAC predhodnikom.
Screenshotovi: delovi programa
Screenshotovi: Rezultati - crteži
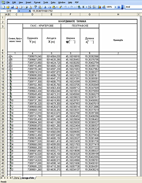
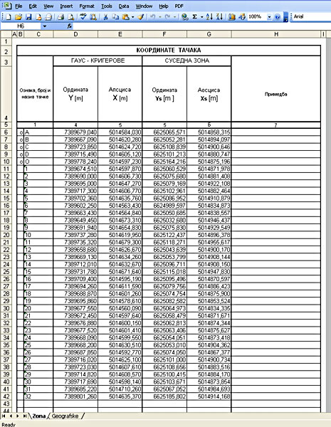
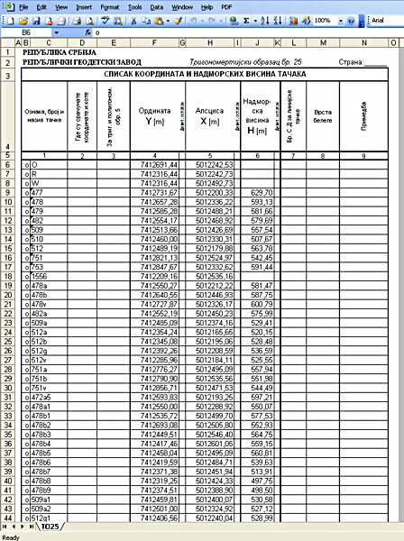
Screenshotovi: Excel - AcadGRAC
